注意事项
在 LibreOJ 上,由于语言限制,目前只支持以下语言的提交:
请在提交源代码前添加 #include "roadwork.h"。
题目描述
题目译自 2025년도 국제정보올림피아드 대표학생 선발고사 - 1차 선발고사 T3 「다리 보수 공사」
KOI 城市以一条横贯东西的大河为中心而建。河的北岸和南岸各分布着 N 个村庄。北岸的村庄从下游向上游依次编号为 A1,A2,…,AN,南岸的村庄同样从下游向上游依次编号为 B1,B2,…,BN。因此,KOI 城市总共有 2N 个村庄。
最初,KOI 城市的居民靠木筏往来交流,但随着现代化进程,他们开始修建跨越大河的桥梁。由于城市发展从下游开始,最早建成的桥梁连接了 A1 和 B1,被居民称为 0 号桥。随后,KOI 城市陆续修建了 1 号桥、2 号桥,乃至 2N−2 号桥,总共建成 2N−1 座桥梁。
从 0 号桥开始,每座新桥都与前一座桥相邻修建。具体来说,对于任意 0≤i≤2N−3,若 i 号桥连接 Ax 和 By,则 i+1 号桥要么连接 Ax 和 By+1,要么连接 Ax+1 和 By。这两种选择记录在一个长度为 2N−2 的字符串 S 中:若 S[i]=A,则 i+1 号桥连接 Ax 和 By+1;若 S[i]=B,则连接 Ax+1 和 By。字符串 S 中恰好有 N−1 个 A 和 N−1 个 B。据此,可以证明以下事实:
- 不会出现连接不存在村庄的桥梁。
- 任意两个不同村庄之间总能通过桥梁往返。
- 2N−2 号桥必然连接 AN 和 BN。
现在,KOI 城市计划对桥梁进行维修工程。维修将从 2N−1 座桥梁中挑选若干座进行。由于施工会产生噪音,城市希望避免同一村庄连接的两座或更多桥梁同时维修。你的任务是帮助 KOI 城市在满足这一条件的前提下,尽可能多地维修桥梁,并计算出能修最多桥梁时的方案数,对 109+7 取模后的余数。两个维修方案不同是指选中的桥梁集合不同。即使你只算出最多能修的桥梁数量,也能获得部分分数。
实现细节
你需要实现以下函数:
array<int, 2> roadwork(string S)
- S:长度为 2N−2 的字符串。
- 该函数在一个测试用例中可能被调用 T 次。
- 若最多能维修 p 座桥梁,且维修 p 座桥梁的方案数对 109+7 取模后为 q,函数需返回 [p,q],其中 0≤q≤109+6。
你提交的代码中不得包含任何输入输出函数。
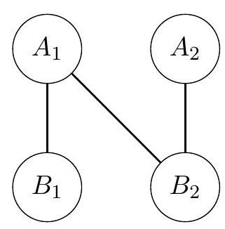
样例 1
假设 N=2,S=AB,评测程序调用:
roadwork("AB")
下图展示了 KOI 城市的结构。

此时,0 号桥连接 A1 和 B1,1 号桥连接 A1 和 B2,2 号桥连接 A2 和 B2。选择 0 号桥和 2 号桥维修,可修最多 2 座桥,且这种方案只有 1 种。函数应返回 [2,1]。若返回 [2,−1] 或 [2,0] 等,仅正确返回数量,分数按部分计。
维修 1 座桥有 3 种方法,但这不是最多桥梁的情况,不予考虑。
样例 2
假设 N=7,S=AABBAABBAABB,评测程序调用:
roadwork("AABBAABBAABB")
下图展示了 KOI 城市的结构。

此时,最多可维修 6 座桥,方案数有 4 种。函数应返回 [6,4]。
数据范围与提示
对于所有输入数据,满足:
- 1≤T≤10
- 2≤N≤221
- S 中恰好包含 N−1 个 A 和 N−1 个 B。
详细子任务附加限制及分值如下表所示。
| 子任务 |
分值 |
附加限制 |
| 1 |
4 |
N≤21 |
| 2 |
5 |
N≤23 |
| 3 |
6 |
N≤25 |
| 4 |
7 |
N≤27 |
| 5 |
8 |
N≤29 |
| 6 |
9 |
N≤211 |
| 7 |
10 |
N≤213 |
| 8 |
11 |
N≤215 |
| 9 |
12 |
N≤217 |
| 10 |
13 |
N≤219 |
| 11 |
15 |
无附加限制 |
对于每个子任务,若仅正确返回最多桥梁数量,可获得 40% 的分数。
示例评测程序
示例评测程序接收以下格式的输入:
- 第 1 行:T
- 第 2+i (0≤i≤T−1) 行:N S
设第 i+1 个测试用例中 roadwork 返回的数组为 C[i],输出格式为:
- 第 1+j (0≤j≤T−1) 行:C[j][0] C[j][1]
请注意,示例评测程序可能与实际评测程序有所不同。